Celem ćwiczenia jest opanowanie umiejętności rysowania struktur związków chemicznych z wykorzystaniem programu MarvinSketch.
MarvinSketch jest programem służącym do rysowania struktur chemicznych oraz reakcji chemicznych. Program umożliwia sprawdzenie budowy narysowanych związków chemicznych pod względem poprawności chemicznej. Pozwala także na korzystanie z gotowych fragmentów struktur.
Aby uruchomić program, w panelu głównym należy wpisać MarvinSketch. Przy otwieraniu należy wybrać powłokę Marvin (active). Otworzy się okno programu:

Po prawej stronie okna, na pasku znajduje się menu, z którego możemy wybrać pierwiastek, którego chcemy użyć, dostęonych jest kilka podstawowych pierwiastków (H, C, N, O, S, F, P, Cl, Br i I). Po kliknięciu na ikonę złożoną z kwadracików (powyżej pierwistków) otworzy się okno z układem okresowym, gdzie możemy wybrać dowolny pierwiastek.
Z okna widocznego poniżej możemy wybrać każdy, dowolny pierwiastek:

W zakładce ADVANCED można wybrać dodatkowe symbole, jak np. atom dowolnego metalu czy grupę R:

Wróćmy teraz do głównego okna programu.
Po lewej stronie okna, na pasku znajduje się menu (pasek narzędzi), z którego możemy wybrać:

Zmiana typu wiązania (pojedyncze/podwójne/aromatyczne itp.)
Rysowanie łańcucha węglowego o dowolnej długości
Pogrubienie linii wiązania
Rysowanie wiązania linią przerywaną
Wstawianie tekstu
Wstawianie strzałek do równań
Tworzenie skrótów do powtarzających się grup np. [CH2]4
Wstawianie nawiasów
Wstawiane obiektów graficznych
Zwiększenie ładunku wybranego atomu
Zmniejszenie ładunku wybranego atomu
Tak wygląda menu główne programu:

Ikonki oznaczają kolejno:
Z menu dolnego można wybierać gotowe szablony (fragmenty) cząsteczek:

Aby wybrać jaka grupa szablonów (np. aminokwasy, cukry itp.) ma być aktualnie wyświetlana należy wybrać ją z Biblioteki szablonów (Template Library) - użyj Ctrl+t
Zaloguj się na swoje konto Google i stwórz katalog tiwc8
Zapisuj w nim wszystkie utworzone pliki.
Narysuj strukturę przedstawioną poniżej:

W tym celu należy:
Wybrać z gotowych szablonów, strukturę odpowiadająca benzenowi (sześcioczłonowy pierścień).
Wybrać w panelu prawym azot (N) i najechać kursorem na miejsce gdzie powinien być azot w pierścieniu benzenu (powinno się pojawić małe niebieskie kółeczko).
Wybrać z panelu lewego Single bond, (czyli opcji odpowiadającej za rysowanie wiązań) i wybrać Single up, czyli trójkąt czarny. Aby nadać mu odpowiednią orientację należy kliknąć w środek utworzonego wiązania.
Wybrać z szablonu cyklopentan (pięcioczłonowy pierścień) i przeciągnąć na miejsce CH3.
Wybrać ponownie w panelu prawym azot (N) i najechać kursorem na miejsce gdzie powinien być azot w pierścieniu cyklopentanu.
Wybrać w panelu prawym węgiel (C) i teraz aby stworzyć grupę CH3 należy nacisnąć lewym przyciskiem myszy na miejsce gdzie ma być wiązanie (w naszym wypadku N), odsunąć trochę kursor i puścić przycisk.
Aby wiązanie między grupą CH3 a azotem było właściwe, wybieramy w panelu lewym opcję odpowiadającą za rysowanie wiązań, nstępnie wybieramy Single i najeżdżamy na środek wiązania między tymi dwiema grupami i klikamy.
Uwaga! Jeśli na końcu tego wiązania nie widać CH3, należy wybrać z menu górnego: View → Implicit Hydrogens → On Hetero and Terminal. Grupa zostanie wyświetlona.
Zapisz cząsteczkę pod nazwą nikotyna.jpg. Wybierz z górnego menu File → Export to image. W ten sposób uzyskaliśmy pik graficzny, którego można użyć np. w prezentacji.
Jeśli chcemy zapisać trójwymiarową cząsteczkę musimy użyć np. formatu PDB (Protein Data Bank). Zapisz plik nikotyna.pdb. Wybierz z górnego menu File → Save as i wybierz type Protein Data Bank / PDB → Save as.
Zapisz obydwa pliki w katalogu tiwc8 na dysku Google.
Postępując analogicznie wykonaj rysunek dla dwóch poniższych struktur:
Struktura 1:
Struktura 2:
Pamiętaj, że struktury mogą być na początku rysowane mniej dokładnie. Na końcu zawsze należy użyć opcji Check Structure. Przed wyeksportowaniem dodaj Analysis Box, w którym jak przy nikotynie będzie: Traditional name; Name; Formula i Molecular weight.
Zapisz wszystkie cztery nowe pliki w katalogu tiwc8 na dysku Google.
Narysuj strukturę poniższego tripeptydu, który składa się z trzech aminokwasów: glicyny-alaniny-alaniny (Gly-Ala-Ala). Uwaga! kolejność aminokwasów jest ważna, Gly-Ala-Ala to zupełnie inny peptyd niż np. Ala-Gly-Ala!
Aby zbudować peptyd Gly-Ala-Ala, w tym celu należy:
Po narysowaniu zapisać cząsteczkę pod nazwą Gly-Ala-Ala.jpg oraz Gly-Ala-Ala.pdb.
Zapisz obydwa pliki w katalogu tiwc8 na dysku Google.
Narysować za pomocą MarvinSketch poniższe równanie:

Zapisać równanie jako reakcja.jpg oraz zapisz przygotowane równanie reakcji w formacie natywnym MarvinSketcha: MRV (ChemAxon Marvin Documents): reakcja.mrv
Zapisz obydwa pliki w katalogu tiwc8 na dysku Google.
Za pomocą MarvinSketch zapisz kolorowy wzór sumaryczny jonu fosforanowego (V) w ten sposób, aby ilość atomów tlenu w tym anionie została zapisana na czerwono, zaś ładunek anionu na zielono. Należy uzyskać efekt podobny do: PO43-.
Aby uzyskać podobny efekt należy użyć narzędzia tekstowego (oznaczenie "1)" na grafice, poniżej), napisać "PO43-" (litera "A)" na grafice, poniżej), a następnie zaznaczyć wybrany fragment (np. czwórkę - litera "B)" na grafice, poniżej) i zmienić jej położenie (cyfra "2)") oraz kolor (cyfra "3)"). Podobnie należy postąpić z indeksem górnym oznaczającym ładunek anionu . Uzyskany efekt widoczny jest pod literą "C)" na grafice, poniżej.

Zapisz wzór jako sumaryczny.jpg oraz zapisz przygotowany wzór sumaryczny w formacie natywnym MarvinSketcha: MRV (ChemAxon Marvin Documents): sumaryczny.mrv
Zapisz obydwa pliki w katalogu tiwc8 na dysku Google.
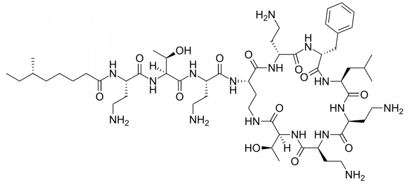
Narysować cząsteczkę polimyksyny B (antybiotyk). Można wykorzystać bazę dostępnych w programie fragmentów.

Zapisz cząsteczkę pod nazwą polimyksynaB.jpg oraz zapisz tę cząsteczkę w formacie natywnym MarvinSketcha (MRV): polimyksynaB.mrv
Zapisz obydwa pliki w katalogu tiwc8 na dysku Google.
Udostępnij prowadzącemu cały katalog tiwc8, w którym powinno się znaleźć 14 plików:
7 w formacie "jpg"
2 w formacie "pdb"
5 w formacie "mrv"