Rafał Ślusarz
Zadanie docelowe polega na zbudowaniu czterech kompleksów, o których mówiliśmy podczas ostatniego spotkania w sali (każdy 4 szt.).
Udostępniłem Wam (mail-em) pliki wejściowe do konstrukcji komleksów docelowych.
Dysponujecie skonstruowanymi własnoręcznie plikami wejściowymi do LEaP-a do każdej z wersji wankomycyny (modyfikowanej na C-końcu i/lub z dodatkowym podstawieniem wankozaminy dekanem). Do tych właśnie plików wejściowych należy dopisać ładowanie trzech niestandardowych reszt należących do łańcucha pentapeptydowego peptydoglikanu (jakie są to reszty, to odczytacie z dołączonych plików PDB - pod koniec plików, lub z komunikatów błędu tleap-a).
Należy także zastąpić w leap.in (lub odpowiedniku) nazwę ładowanego pliku PDB, na podstawie którego zbudowane zostaną TOP i CRD.
Sekacja "bond" pozostaje bez zmian, ponieważ ligand (peptydoglikan) nie jest łączony kowalencyjnie z wankomycyną, zaś połączenia pomiędzy samymi resztami aminokwasowymi są realizowane jak w każdym, normalnym łańcuchu peptydowym.
Na tym etapie należy wygenerować TOP i CRD - ale tylko po to, żeby zrealizować dwie rzeczy:

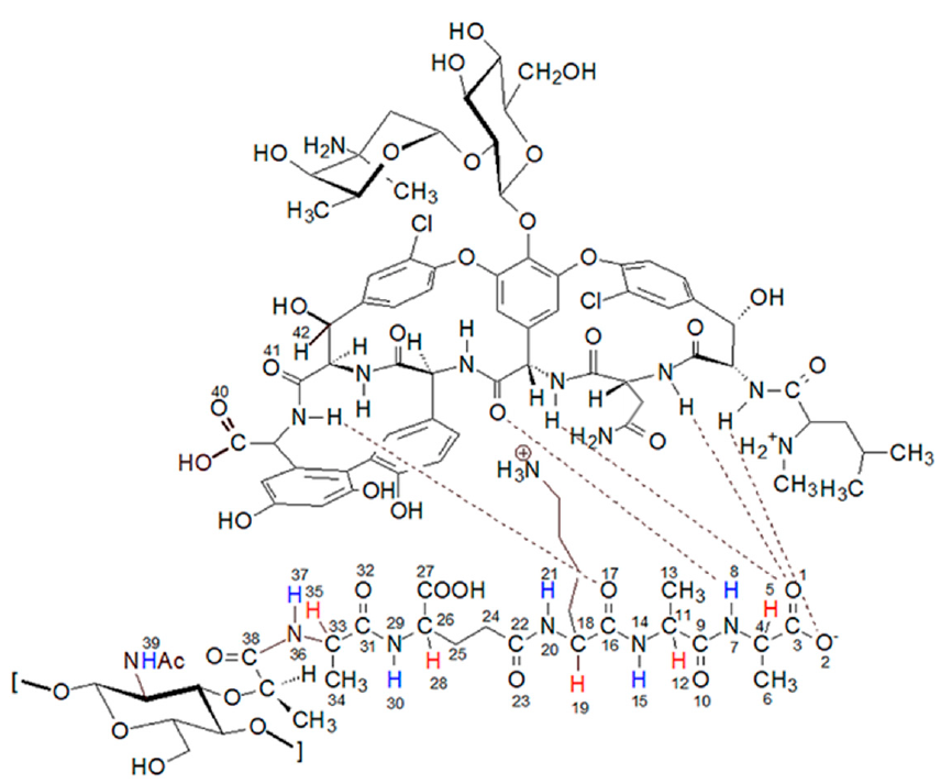
Na rysunku, powyżej, N-koniec pentapeptydu zaopatrzony jest kwasem muraminowym - u Was w tym miejscu pojawia się po prostu grupa acylowa. Proszę też nie zwracać uwagi na numery atomów na tym rysunku - służyły czemuś zupełnie innemu...
Zadanie konstrukcji pliku ograniczenia odległości polega na skonstruowaniu pliku RST.dat, o którym mowa była w temacie "minimalizacje i optymalizacje", w punkcie 2.
Wasze zadanie polega na zidentyfikowaniu atomów, które tworzą te wiązania (odnalezienie ich numerów - np. klikając w nie w RasMol-u) i wpisaniu ich do szablonu:
&rst iat= NUMER1, NUMER2, r1= 1.50, r2= 2.00, r3= 4.00, r4= 4.50, rk2= 4.0, rk3= 4.0, &end(w powyższym szablonie definiujemy paraboliczną studnię ograniczenia siłowego ze środkiem preferowanej odległości między atomami o numerach NUMER1 i NUMER2 przypadającym na 3 Angstromy).
Po skonstruowaniu takiego pliku RST.dat należy go (za chwilę) użyć do minimalizacji a później do dynamiki molekularnej. Musicie jednak pamiętać o tym, że RST.dat będzie zawierał INDYWIDUALNE zestawy numerów atomów (te same atomy będą miały w różnych kompleksach inne numery), na przykład pierwsze od prawej (na rysunku powyżej) wiązanie wordorowe pomiędzy karbonylowym atomem węgla ostatniej reszty D-Ala (na rysunku, powyżej, ma on numer "3") a otatnim atomem amidowym (N-końca wankomycyny) w kompleksie wankomycyna-pentapeptyd tworzone jest przez atomy 249 i 26, zaś w kompleksie wankomycyna (z dodatkowym dekanem)-pentapeptyd te same atomy mają numery 278 i 26 (w tej linijce RST.dat, kolejność tych atomów nie ma znaczenia).
Kiedy RST.dat będą już gotowe, nalezy wrócić do edycji leap.in (lub odpowiedników) i dodać opcję neutralizacji ładunku kompleksu (jeżeli jest to wymagane - mówiliśmy o tym w temacie "podstawy LEaP", w punkcie 7 i 12.
Po zneutralizowaniu ładunku należy dodać wodę w pudle periodycznym (punkt 12 "podstaw LEaP-a"), z warstwą otaczania 12 Angstromów.
Tak przygotowane TOP i CRD należy zminimalizować (uwaga: input musi zawierać opcje, o których mowa w punkcie 3 tematu "minimalizacje i optymalizacje" zamiast opcji "ntb=0", ORAZ musi zawierać odwołania do danych strukturalnych (RST.dat), jak drugi przykład inputu w punkcie "2" - na tej samej stronie.
Minimalizację można prowadzić w wersji równoległej sander-a (sander.MPI) - będzie prawie 4x szybciej.
Zminimalizowane struktury - w formacie PDB - przyslijcie, proszę, do mnie do sprawdzenia.
Po tej minimalizacji zostanie już tylko dynamika z uwolnieniem ograniczeń odległości, a po niej dynamika bez jakichkolwiek ograniczeń, analiza zachowania i koniec.
PD - powrót.